作者: rantiku 人气: - 评论: 0
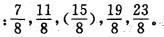
问题
选项
答案 B
解析 分数数列。原数列可转化为分子为等差数列,分母为常数数列。故本题选B。

相关内容:

猜你喜欢

发表评论
更多 网友评论0 条评论)
暂无评论

访问排行

Copyright © 2012-2014 恰考网 Inc. 保留所有权利。 Powered by tikuer.com

页面耗时0.0356秒, 内存占用1.01 MB, Cache:redis,访问数据库19次