有5对夫妇参加一场婚宴,他们被安排在一张10个座位的圆桌就餐,但是婚礼操办者并不知道他们彼此之间的关系,只是随机安排座位。问5对夫妇恰好都被安排在一起相邻...

作者: rantiku 人气: - 评论: 0
问题 有5对夫妇参加一场婚宴,他们被安排在一张10个座位的圆桌就餐,但是婚礼操办者并不知道他们彼此之间的关系,只是随机安排座位。问5对夫妇恰好都被安排在一起相邻而坐的概率是多少?( ) A.1‰到5‰ B. 5‰到1% C.超过1% D.不超过1‰
选项
答案 A
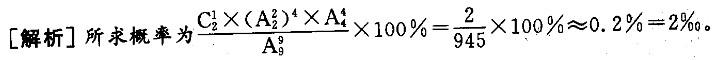
解析

猜你喜欢

发表评论
更多 网友评论0 条评论)
暂无评论

访问排行

Copyright © 2012-2014 恰考网 Inc. 保留所有权利。 Powered by tikuer.com

页面耗时0.0431秒, 内存占用1.03 MB, Cache:redis,访问数据库16次