作者: rantiku 人气: - 评论: 0
问题
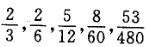
选项
答案 C
解析 原数列可划为,分子与分母之积为下一項的分母,分子与分母之差值再加上1为下一项的分子,故数列下一项为428/25440。正确答案为C。
  • 上一篇:
  • 下一篇:

相关内容:

猜你喜欢

发表评论
更多 网友评论0 条评论)
暂无评论

访问排行

Copyright © 2012-2014 恰考网 Inc. 保留所有权利。 Powered by tikuer.com

页面耗时0.0464秒, 内存占用1.01 MB, Cache:redis,访问数据库20次