2010年,某省广电实际总收入为145. 83亿元,同比增长32. 07%。其中,广告收入为67. 08亿元,同比增长25. 88%;有线网络收入为45....

作者: rantiku 人气: - 评论: 0
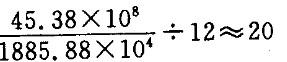
问题 2010年,某省广电实际总收入为145. 83亿元,同比增长32. 07%。其中,广告收入为67. 08亿元,同比增长25. 88%;有线网络收入为45. 38亿元,同比增长26. 35%;其他收入为33. 37亿元,同比增长57. 3%。 2010年,该省广电收入中,省级收入为65. 32亿元,比上年增加15. 5亿元;地市级收入为41. 61亿元,比上年增加13. 39亿元;县级收入为38. 90亿元,比上年增加6.52亿元。 2010年该省各市、县广电收入的区域分布如下: 东部地区50. 06亿元,同比增长32. 48%,占市县收入份额的62. 18%,该地区的市均收入为10.01 亿元,上年同期为7. 56亿元。中部地区17. 78亿元,同比增长40. 70%,该地区的市均收入为5. 93亿元,上年同期为4. 21亿元。西部地区12. 67亿元,同比增长80. 86% ,该地区的市均收入为2. 53亿元,上年同期为1.4亿元。 截至2010年底,该省有线电视用户数为1885. 88万户,比上年末净增161. 7万户。其中有线数字电 视用户为1007. 8万户,比上年末净增277. 58万户。 2010年,该省有线电视用户平均每月的有线网络费用约为多少元?( ) A. 20 B. 36 C. 180 D. 240
选项
答案 A
解析 2010年,该省有线电视用户平均每月的有线网络费用为 (元)。

猜你喜欢

发表评论
更多 网友评论0 条评论)
暂无评论
错误啦!

错误信息

  • 消息: [程序异常] : MISCONF Redis is configured to save RDB snapshots, but it's currently unable to persist to disk. Commands that may modify the data set are disabled, because this instance is configured to report errors during writes if RDB snapshotting fails (stop-writes-on-bgsave-error option). Please check the Redis logs for details about the RDB error.
  • 文件: /twcms/kongphp/cache/cache_redis.class.php
  • 位置: 第 85 行
    <?php echo 'KongPHP, Road to Jane.'; ?>