有56吨商品即将到达某仓库,入库作业需使用1吨叉车,已知该仓库1吨叉车的时间利用系数为70%,每小时搬运20次,起重系数为0.8,计划作业1小时,则本次作...

作者: tihaiku 人气: - 评论: 0
问题 有56吨商品即将到达某仓库,入库作业需使用1吨叉车,已知该仓库1吨叉车的时间利用系数为70%,每小时搬运20次,起重系数为0.8,计划作业1小时,则本次作业需要()台1吨叉车。 A.4 B.5 C.11 D.13
选项
答案 B
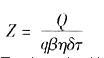
解析 叉车需要量的计算公式为: 式中,Z表示需用叉车的数量,台;Q表示计划完成的物流量,吨;q表示每台叉车每次的额定起(载)重量,吨/(次*台);β表示起重系数,即每台叉车平均一次吊装或搬运的重量与q的比值;η表示每台叉车单位工作小时平均吊装或搬运次数,次/小时;δ表示时间利用系数,%;τ表示计划作业小时,小时。 将题目中数据代入公式计算可得:Z=56/(1×0.7×20×0.8×1)=5(台)。

相关内容:商品,仓库,作业,叉车,时间,利用,系数,计划,1小时

猜你喜欢

发表评论
更多 网友评论0 条评论)
暂无评论

访问排行

Copyright © 2012-2014 恰考网 Inc. 保留所有权利。 Powered by tikuer.com

页面耗时0.0240秒, 内存占用1.04 MB, Cache:redis,访问数据库14次