某公司计划将仓库中的64吨C类商品上货架存放,选用的货架规格为长5米、宽1米、高2米,货架容积充满系数为80%,上架存放商品的单位质量为0.2吨/立方米,...

作者: tihaiku 人气: - 评论: 0
问题 某公司计划将仓库中的64吨C类商品上货架存放,选用的货架规格为长5米、宽1米、高2米,货架容积充满系数为80%,上架存放商品的单位质量为0.2吨/立方米,则需要货架()个。 A.15 B.25 C.30 D.40
选项
答案 D
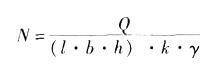
解析 入库商品需上货架存放时,货架的需要量可根据需上架存放商品的最高储存量、所使用货架的长宽高、该种商品的单位质量,以及货架存放该种商品时的容积充满系数来计算,计算公式如下: 式中N表示货架数量,个;Q表示上架存放商品的最高储存量,吨;l、b、h表示所选用货架的长、宽、高,米;k表示货架存放该种商品时的容积充满系数,%;y表示上架存放商品的单位质量,吨/立方米。 将题目中的数据代入公式计算得:N=64/[(5×1×2)×0.8×0.2]=40(个)。

相关内容:公司,计划,仓库,商品,货架,存放,规格,容积,系数,单位,质量,0.2吨

猜你喜欢

发表评论
更多 网友评论0 条评论)
暂无评论

访问排行

Copyright © 2012-2014 恰考网 Inc. 保留所有权利。 Powered by tikuer.com

页面耗时0.0242秒, 内存占用1.04 MB, Cache:redis,访问数据库15次