甲公司目前拥有25个仓库,总库存量价值1000万元,计划明年把仓库减少到16个。以每年库存持有成本为7.5%计算,仓库数量减少后,每年库存持有成本将减少(...

作者: tihaiku 人气: - 评论: 0
问题 甲公司目前拥有25个仓库,总库存量价值1000万元,计划明年把仓库减少到16个。以每年库存持有成本为7.5%计算,仓库数量减少后,每年库存持有成本将减少()万元。
选项 A:10 B:15 C:20 D:25
答案 B
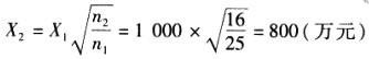
解析 根据风险合并法中,库存成本=800*7.5%=60(万元),总库存量价值1000万元时的库存成本=1000*7.5%=75(万元),成本减少75-60=15(万元)。

相关内容:公司,仓库,库存量,价值,1000万元,计划,库存,成本,数量

猜你喜欢

发表评论
更多 网友评论0 条评论)
暂无评论

访问排行

Copyright © 2012-2014 恰考网 Inc. 保留所有权利。 Powered by tikuer.com

页面耗时0.0224秒, 内存占用1.03 MB, Cache:redis,访问数据库15次