共用题干 2011年3月,日本发生里氏8级以上的地震,地震后核电站发生多起核爆炸。我国沿海居民为了防止核辐射,争相抢购食盐,以及含食盐较多的食品。食盐价...

作者: tihaiku 人气: - 评论: 0
问题 共用题干 2011年3月,日本发生里氏8级以上的地震,地震后核电站发生多起核爆炸。我国沿海居民为了防止核辐射,争相抢购食盐,以及含食盐较多的食品。食盐价格更是成倍上涨。某企业集团主要经营生活资料,经营的商品主要有羽绒服、电冰箱、钢材、空调、彩电、电脑、食盐、蔬菜、制冷剂、冷饮、电热扇等。该企业集团依据商品的供求形态来选择预测方法,并对企业经营的商品进行预测。阅读以上材料,回答下列问题:
选项 时间序列分析法有很多,常用的有()。 A:一元线性回归分析法 B:算数平均数法 C:指数平滑法 D:移动平均数法
答案 BCD
解析 本题考查对需求处于稳定状态的理解。尽管一时被抢购,食盐仍是生活必需品,需求处于稳定状态。
本题考查算术平均数法的适用范围。算数平均数法能拉平随机波动的影响,对稳定形态较为合适。
本题考查上期销售量法。上期销售量法是把上一期的实际销售量作为下一期销售量的预测值。
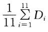
本题考查使用算数平均数法计算销售量预测。F12==(430+460+……+500+480)/11=470(万元)。
本题考查销售量预测值的计算。F12=αD11+(1-α)F11=0.6*480+0.4*500=488(万元)。
本题考查时间序列分析法的类型。上期销售量法、算数平均数法、指数平滑法、移动平均数法是常用的时间序列分析法。

相关内容:题干,2011年,日本,里氏,地震,核电站,多起,核爆炸,我国,居民,核辐射,食盐,食品

猜你喜欢

发表评论
更多 网友评论0 条评论)
暂无评论

访问排行

Copyright © 2012-2014 恰考网 Inc. 保留所有权利。 Powered by tikuer.com

页面耗时0.0273秒, 内存占用1.05 MB, Cache:redis,访问数据库17次