神州数码公司经销数码相机,年销售量10000台,采购单价每台800元,订购成本每次1000元,每台数码相机的年持有成本为20元。若供应商要求的订购提前期为...

作者: tihaiku 人气: - 评论: 0
问题 神州数码公司经销数码相机,年销售量10000台,采购单价每台800元,订购成本每次1000元,每台数码相机的年持有成本为20元。若供应商要求的订购提前期为10天,年工作时间以360日计算,不设安全库存量,则该公司的最大库存量为()台。
选项 A:1500 B:1556 C:1554 D:1550
答案 B
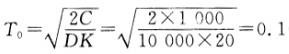
解析 经济订购间隔期为:(年),即36天;最大库存量为:E=D(T0+L)/N+S=1000*(36+20)/360+0=1556(台);式中,T0为经济订购间隔期,C为每次订购成本,D为年需求量,K为单位商品的年持有成本,E为最大库存量,L为订购提前期,N为1年中有N个作业日,S为安全库存量。

相关内容:神州数码,公司,数码相机,年销售量,10000台,采购,单价,每台,800元,成本,1000元,供应商,要求,前期

猜你喜欢

发表评论
更多 网友评论0 条评论)
暂无评论

访问排行

Copyright © 2012-2014 恰考网 Inc. 保留所有权利。 Powered by tikuer.com

页面耗时0.0364秒, 内存占用1.05 MB, Cache:redis,访问数据库19次