某公司经销甲品牌电器,年销售量10000台,订购成本每次1000元,每台电器的年持有成本为20元。若供应商要求的订购提前期为10天,年工作时间以360日计...

作者: tihaiku 人气: - 评论: 0
问题 某公司经销甲品牌电器,年销售量10000台,订购成本每次1000元,每台电器的年持有成本为20元。若供应商要求的订购提前期为10天,年工作时间以360日计算,不设安全库存量,则该公司的经济订购间隔期为()天。
选项 A:36.5 B:36 C:3.6 D:10
答案 B
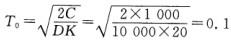
解析 经济订购间隔期(年),即36天;式中,T0为经济订购间隔期,C为每次订购成本,D为年需求量,K为单位商品的年持有成本。

相关内容:公司,品牌,电器,年销售量,10000台,成本,1000元,每台,供应商,要求,前期,工作,时间,360日计

猜你喜欢

发表评论
更多 网友评论0 条评论)
暂无评论

访问排行

Copyright © 2012-2014 恰考网 Inc. 保留所有权利。 Powered by tikuer.com

页面耗时0.0320秒, 内存占用1.04 MB, Cache:redis,访问数据库17次