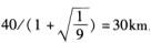
甲、乙两个城市之间的距离为40公里,其中甲城市的人口为9百万人,乙城市的人口为1百万人。那么甲城市的商圈边界为()公里。A:30 B:20 C:15 ...

作者: tihaiku 人气: - 评论: 0
问题 甲、乙两个城市之间的距离为40公里,其中甲城市的人口为9百万人,乙城市的人口为1百万人。那么甲城市的商圈边界为()公里。
选项 A:30 B:20 C:15 D:10
答案 A
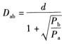
解析 雷利法则的计算公式为:。式中,d表示甲城市与乙城市之间的距离;Pa表示甲城市的人口数;Pb表示乙城市的人口数;Dab表示甲城市的商圈边界。题中,甲城市的商圈边界是:

相关内容:两个,城市,距离,40公里,人口,百万人,商圈,边界

猜你喜欢

发表评论
更多 网友评论0 条评论)
暂无评论

访问排行

Copyright © 2012-2014 恰考网 Inc. 保留所有权利。 Powered by tikuer.com

页面耗时0.0338秒, 内存占用1.05 MB, Cache:redis,访问数据库20次