企业某设备1~6周期的实际销售量分别为:500台、510台、180台、600台、600台、630台。采用一次移动平均数法计算,如取m=3,则第7周期的销售...

作者: tihaiku 人气: - 评论: 0
问题 企业某设备1~6周期的实际销售量分别为:500台、510台、180台、600台、600台、630台。采用一次移动平均数法计算,如取m=3,则第7周期的销售量的预测值为()台。
选项 A:490 B:527 C:553 D:610
答案 D
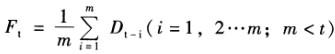
解析 一次移动平均数法的计算公式是:。式中,Ft表示第t期的预测销售量;Dt-1表示第t-i期的实际销售量;m表示移动平均所取实际销售量的期数,简称为移动期数。题中,移动数m=3,即求第7期往前三期即第4、5、6三期的实际销售量的平均数,则第7期销售量的预测值=(600+600+630)/3=610(台)。

相关内容:企业,设备,周期,实际,销售量,500台,510台,180台,600台,630台,移动,平均数,如取,则第,销售

猜你喜欢

发表评论
更多 网友评论0 条评论)
暂无评论

访问排行

Copyright © 2012-2014 恰考网 Inc. 保留所有权利。 Powered by tikuer.com

页面耗时0.0302秒, 内存占用1.05 MB, Cache:redis,访问数据库19次