共用题干 2010年3月28日,吉利汽车公司收购沃尔沃100%的股权,实现了我国汽车行业的“走出去战略”。沃尔沃公司近十年的销售量见下表:根据以上资料,...

作者: tihaiku 人气: - 评论: 0
问题 共用题干 2010年3月28日,吉利汽车公司收购沃尔沃100%的股权,实现了我国汽车行业的“走出去战略”。沃尔沃公司近十年的销售量见下表:

根据以上资料,回答下列问题:
选项 一次移动平均数法是介于()之间的一种方法。 A:上期销售量法 B:指数平滑法 C:算术平均法 D:一次指数平滑法
答案 AC
解析 本题考查垄断竞争市场。垄断竞争市场上产品是有差异的,厂商既不是价格的接受者也不是价格的制订者,对价格有一定的影响,比较典型的市场如汽车市场等。
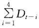
本题考查一次移动平均数法。F11==(10-11+12+11)/4=11(万辆)。
本题考查一次指数平滑法预测。F11=αD10+(1-a)F10=0.8*11+0.2*12=11.2(万辆)。
本题考查一次移动平均数法。一次移动平均数法用过去m个周期实际销售量的算术平均值作为下期的预测销售量,是介于上期销售量法和算术平均数法之间的一种方法。
本题考查商品流通企业战略的特点。商品流通企业战略的特点包括:全局性、长远性、抗争性、纲领性、动态性。

相关内容:题干,2010年,吉利,汽车,公司,沃尔沃,股权,我国,汽车行业,走出去战略,销售量,根据,资料

猜你喜欢

发表评论
更多 网友评论0 条评论)
暂无评论

访问排行

Copyright © 2012-2014 恰考网 Inc. 保留所有权利。 Powered by tikuer.com

页面耗时0.0281秒, 内存占用1.05 MB, Cache:redis,访问数据库19次