甲公司目前拥有25个仓库,总库存量价值1000万元,计划明年把仓库减少到16个。以每年库存持有成本为7.5%计算,仓库数量减少后,每年库存持有成本将减少(...

作者: tihaiku 人气: - 评论: 0
问题 甲公司目前拥有25个仓库,总库存量价值1000万元,计划明年把仓库减少到16个。以每年库存持有成本为7.5%计算,仓库数量减少后,每年库存持有成本将减少()万元。 A.10 B.15 C.20 D.25
选项
答案 B
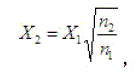
解析 本题的考点为库存平方根定律的计算。根据公式,计算如下: (1)现有仓库总库存量(X2),题目已知为1000万元; (2)现有仓库数量(n1),题目已知为25; (3)未来仓库数量(n2),题目已知为16个 (4)将上述信息代入公式计算,未来仓库总库存量万元 (5)则库存持有成本减少额=(1000-800)×7.5%=15万元,故选B

相关内容:公司,仓库,库存量,价值,1000万元,计划,库存,成本,数量

猜你喜欢

发表评论
更多 网友评论0 条评论)
暂无评论

访问排行

Copyright © 2012-2014 恰考网 Inc. 保留所有权利。 Powered by tikuer.com

页面耗时0.0472秒, 内存占用1.04 MB, Cache:redis,访问数据库17次