环球公司现有9个仓库,总库存量价值为1800万元,董事会要求通过增加仓库数量将总库存量价值控制在3000万元。根据库存的平方根定律,仓库数量应增加为()个...

作者: rantiku 人气: - 评论: 0
问题 环球公司现有9个仓库,总库存量价值为1800万元,董事会要求通过增加仓库数量将总库存量价值控制在3000万元。根据库存的平方根定律,仓库数量应增加为()个。
选项 A:16 B:25 C:18 D:36
答案 B
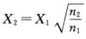
解析 库存的平方根定律揭示了未来仓库数量产生的总库存等于未来仓库数量与现有仓库数量二者商的平方根与现有总库存的乘积。根据公式,代入数据可得:,解得n2=25(个);式中,n1为现有仓库的数量,n2为未来仓库的数量,X1为现有仓库的总库存量,X2为未来仓库的总库存量。

猜你喜欢

发表评论
更多 网友评论0 条评论)
暂无评论

访问排行

Copyright © 2012-2014 恰考网 Inc. 保留所有权利。 Powered by tikuer.com

页面耗时0.0272秒, 内存占用1.03 MB, Cache:redis,访问数据库18次