某商场经销海尔洗衣机,年销售量10000台,采购单价每台800元,订购成本每次1000元,每台洗衣机的年持有成本为20元。若供应商要求的订购提前期为10天...

作者: rantiku 人气: - 评论: 0
问题 某商场经销海尔洗衣机,年销售量10000台,采购单价每台800元,订购成本每次1000元,每台洗衣机的年持有成本为20元。若供应商要求的订购提前期为10天,年工作时间以360日计算,不设安全库存量,则该商场的经济订购间隔期为()天。
选项 A:0.1 B:36 C:25 D:30
答案 B
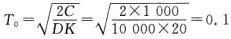
解析 经济订购间隔期为:(年),即36天;式中,T0为经济订购间隔期,C为每次订购成本,D为年要求量,K为单位商品的年持有成本。

猜你喜欢

发表评论
更多 网友评论0 条评论)
暂无评论

访问排行

Copyright © 2012-2014 恰考网 Inc. 保留所有权利。 Powered by tikuer.com

页面耗时0.0305秒, 内存占用1.03 MB, Cache:redis,访问数据库20次