AJT公司计划把它的服务范围向西部进一步扩展。目前该公司拥有12个仓库,总库存量价值1200万元,计划把仓库数量增至16个。以每年库存持有成本为20%计算...

作者: rantiku 人气: - 评论: 0
问题 AJT公司计划把它的服务范围向西部进一步扩展。目前该公司拥有12个仓库,总库存量价值1200万元,计划把仓库数量增至16个。以每年库存持有成本为20%计算,仓库数量增加后,库存持有成本将如何变化?()
选项 A:库存持有成本增加了37.2万元 B:库存持有成本增加了27.2万元 C:库存持有成本降低了37.2万元 D:库存持有成本降低了27.2万元
答案 A
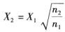
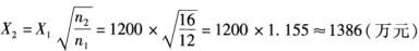
解析 未来仓库数量产生的总库存等于未来仓库数量与现有仓库数量两者商的平方根与现有总库存的乘积。其计算公式为:。式中,n1为现有仓库的数量;n2为未来仓库的数量;X1为现有仓库中的总库存量;X2为未来仓库中的总库存量。根据公式计算:;(1386-1200)*20%=37.2(万元)。可知,仓库数量增加4个后,库存持有成本增加了37.2万元。

猜你喜欢

发表评论
更多 网友评论0 条评论)
暂无评论

访问排行

Copyright © 2012-2014 恰考网 Inc. 保留所有权利。 Powered by tikuer.com

页面耗时0.0299秒, 内存占用1.03 MB, Cache:redis,访问数据库18次