某电商在全国有16个仓库,主要分布在中东部的交通枢纽城市,总库存价值3200万元,由于西部及中亚跨国业务快速增长,该电商计划三年内在西部地区增加9个仓库,...

作者: rantiku 人气: - 评论: 0
问题 某电商在全国有16个仓库,主要分布在中东部的交通枢纽城市,总库存价值3200万元,由于西部及中亚跨国业务快速增长,该电商计划三年内在西部地区增加9个仓库,该电商采用风险合并法控制总库存,假定商品价格,运费等各项因素都不变,则三年后该电商的总库存量价值将发生的变化是()。
选项 A:增加800万元 B:增加1800万元 C:减少800万元 D:减少1800万元
答案 A
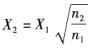
解析 库存的平方根定律解释了如果减少仓库的数量,货主的安全库存就会在总体上大幅度减少。其计算公式为:。式中,n1为现有仓库的数量;n2为未来仓库的数量;X1为现有仓库中的总库存量;X2为未来仓库中的总库存量。根据题意可知:n1=16;n2=25;X1=3200。则未来仓库中的总库存量为X2=4000,因此三年后该电商的总库存量价值增加了(4000-3200)=800(万元)。

猜你喜欢

发表评论
更多 网友评论0 条评论)
暂无评论

访问排行

Copyright © 2012-2014 恰考网 Inc. 保留所有权利。 Powered by tikuer.com

页面耗时0.0398秒, 内存占用1.03 MB, Cache:redis,访问数据库20次