共用题干某企业集团既经营生产资料也经营生活资料,经营的商品主要有轴承、轮胎、橡胶、汽车、大米、食醋、食盐、蔬菜、调味品等。该企业集团依据商品的供求形态来选...

作者: rantiku 人气: - 评论: 0
问题 共用题干某企业集团既经营生产资料也经营生活资料,经营的商品主要有轴承、轮胎、橡胶、汽车、大米、食醋、食盐、蔬菜、调味品等。该企业集团依据商品的供求形态来选择预测方法,并对企业经营的商品进行预测。另附该企业某年1月—11月汽车销售统计表(如下):
选项 多年的经验表明,汽车销售量与轮胎销售量之间有线性关系,回归方程为y=0.8x+50。而且上一年度12月份,轮胎的销售量为700套,运用回归分析法,预测第12个月的汽车销售量预测值为()辆。 A:580 B:620 C:590 D:610
答案 D
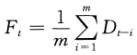
解析 相关类推法即利用已知的相关商品的数据和资料,来推断预测商品的未来需求趋势。商品之间的相关关系大体包括:时间上的先行、后行关系;可替代商品的关系;互补性关系。橡胶为轮胎的先行商品,两者属于时间上的先行、后行关系,适宜的预测方法是相关类推法。 预测方法的选用应当考虑数据资料的状况,在资料充足、信息准确可靠的条件下,可采用定量分析方法;在资料缺乏情况下,宜采用定性分析方法。案例中,企业正在尝试经营一种新产品,各方面资料不充足,应采用定性分析方法,如德尔菲法、类推法和用户调查法。 一次移动平均数法是用过去m个周期实际销售量的算术平均值作为下期的预测销售量公式为:;式中,Ft为第七期的预测销售量,Dt-i为第t-i期的实际销售量,m为移动期数。根据公式,(辆)。 回归分析法是处理变量与变量之间相关关系的一种数理统计方法,一元线性回归方程式为:y=a+bx;式中,y为因变量,即预测值,z为自变量,a、b为回归系数。本题中,y=0.8*700+50=610(辆)。 在进行市场预测时,可选用的定性预测方法有:德尔菲法、类推法和用户调查法。

猜你喜欢

发表评论
更多 网友评论0 条评论)
暂无评论

访问排行

Copyright © 2012-2014 恰考网 Inc. 保留所有权利。 Powered by tikuer.com

页面耗时0.0379秒, 内存占用1.04 MB, Cache:redis,访问数据库19次