共用题干2011年3月,日本发生里氏8级以上的地震,地震后核电站发生多起核爆炸。我国沿海居民为了防止核辐射,争相抢购食盐,以及含食盐较多的食品,食盐价格更...

作者: rantiku 人气: - 评论: 0
问题 共用题干2011年3月,日本发生里氏8级以上的地震,地震后核电站发生多起核爆炸。我国沿海居民为了防止核辐射,争相抢购食盐,以及含食盐较多的食品,食盐价格更是成倍上涨。某企业集团主要经营生活资料,经营的商品主要有羽绒服、电冰箱、钢材、空调、彩电、电脑、食盐、蔬菜、制冷剂、冷饮、电热扇等。该企业集团依据商品的供求形态来选择预测方法,并对企业经营的商品进行预测。
选项 上述材料中,食盐被居民抢购一空,价格飞涨。结合上述企业集团的经营商品,需求处于稳定形态的有()。 A:羽绒服 B:食盐 C:电热扇 D:电冰箱
答案 B
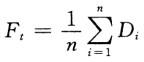
解析 尽管一时被抢购,食盐仍是生活必需品,需求处于稳定状态。 算数平均数法能拉平随机波动的影响,对稳定形态较为合适。 上期销售法是把上一期的实际销售量作为下一期销售量的预测值。F12=D11=480(万元),式中,F12为12月销售预测值,D11为11月实际销售量。 算术平均数法公式为:;式中,Ft为第t期的预测销售量,Di为第i期的实际销售量,n为实际销售量时间序列数据的个数。根据公式:F12==(430+460+…+500+480)/11=470(万元)。 一次平滑指数法公式为:Ft=aDt-1+(1+a)Ft-1;式中,Ft为第t期的预测销售量,Ft-1为第t-1期的实际销售量,a为平滑系数。根据公式:F12=aD11+(1-a)F11=0.6*480+0.4*500=488(万元)。 上期销售法、算数平均数法、指数平滑法、移动平均数法是常用的时间序列分析法。

猜你喜欢

发表评论
更多 网友评论0 条评论)
暂无评论

访问排行

Copyright © 2012-2014 恰考网 Inc. 保留所有权利。 Powered by tikuer.com

页面耗时0.0340秒, 内存占用1.04 MB, Cache:redis,访问数据库19次