共用题干某商品流通企业经销一种轴承,近10年的实际销售量如表5-10所示。下列预测方法中,属于定性预测的有()。A:一元线性回归分析法B:用户调查...

作者: rantiku 人气: - 评论: 0
问题 共用题干某商品流通企业经销一种轴承,近10年的实际销售量如表5-10所示。
选项 下列预测方法中,属于定性预测的有()。 A:一元线性回归分析法 B:用户调查法 C:类推法 D:指数平滑法
答案 BC
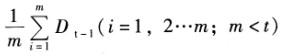
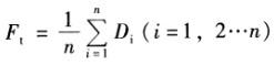
解析 预测方法的选用应当考虑数据资料的状况。在资料充足、信息准确可靠的条件下,可采用定量分析方法;在资料缺乏情况下,宜采用定性分析方法。常用的定性预测方法有专家会议法、德尔菲法、类推法、用户调查法、马尔可夫分析法等。案例中,企业刚刚经营一种新产品,各方面资料不充足,应采用定性分析方法。 参见第1题解析。 上期销售量法是定量预测方法中的一种,属于时间序列分析法,是把上一期的实际销售量作为下一期销售量的预测值。它用公式表示为:Ft=Dt-1。式中,Ft为第二期的预测销售量;Dt-1为第t-1期的实际销售量,即上期实际销售量。根据已知条件,第11年的销售量预测值为:F11=D11-1=D10=1830(套)。 算术平均数法是以时间序列各个时期实际销售量的算术平均值作为下一期的预测销售量,用公式表示为: 式中,Ft为第t期的预测销售量;Di为第i期的实际销售量,n为实际销售量时间序列数据的个数。根据已知条件得: 。 一次移动平均数法是用过去m个周期实际销售量的算术平均值作为下期的预测销售量。这种方法只选取时间序列中最靠近预测期的一组数据,选取的数据个数(m)固定不变,而随着预测期向前移动,每组数据的观察期也向前移动。其计算公式为:Ft=。式中,Ft为第t期的预测销售量;Dt-i为第t-i期的实际销售量;m为移动平均所取实际销售量的期数。根据计算公式可得: 。 定量预测方法包括:①时间序列分析法,包括上期销售量法、算术平均数法、移动平均数法、指数平滑法;②回归分析法,按自变量个数的多少划分,可以分为一元回归分析预测法和多元回归分析预测法。其中,移动平均数法分为一次移动平均数法和二次移动平均数法。

猜你喜欢

发表评论
更多 网友评论0 条评论)
暂无评论

访问排行

Copyright © 2012-2014 恰考网 Inc. 保留所有权利。 Powered by tikuer.com

页面耗时0.0782秒, 内存占用1.04 MB, Cache:redis,访问数据库20次