某企业的资本成本为10%,有一项投资项目,初始投资为1500万元,项目期限为2年,第1年和第2年的现金净流量分别为880万元和1210万元。则该投资项目的...

作者: rantiku 人气: - 评论: 0
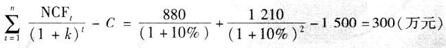
问题 某企业的资本成本为10%,有一项投资项目,初始投资为1500万元,项目期限为2年,第1年和第2年的现金净流量分别为880万元和1210万元。则该投资项目的净现值为()万元。
选项 A:290 B:300 C:590 D:620
答案 B
解析 净现值=

猜你喜欢

发表评论
更多 网友评论0 条评论)
暂无评论

访问排行

Copyright © 2012-2014 恰考网 Inc. 保留所有权利。 Powered by tikuer.com

页面耗时0.0377秒, 内存占用1.03 MB, Cache:redis,访问数据库20次