作者: rantiku 人气: - 评论: 0
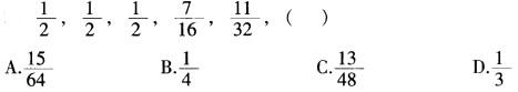
问题
选项
答案 B
解析 从题干中的7/16、11/32入手,将前几个分数改写,使其分子分母分别变化,考虑将分母构造成公比为2的等比数列。此时分数分母依次是2,4,8,16,32,(64);分子依次是1,2,4,7,11,(16),这是一个二级等差数列。16/64=1/4。

相关内容:

猜你喜欢

发表评论
更多 网友评论0 条评论)
暂无评论

访问排行

Copyright © 2012-2014 恰考网 Inc. 保留所有权利。 Powered by tikuer.com

页面耗时0.0498秒, 内存占用1.01 MB, Cache:redis,访问数据库20次