2009年度全国旅行社营业收入为1806.53亿元,同比增长8.64%;毛利润总额为134.36亿元,毛利率为7.44%;净利润总额为11.48亿元,净利...

作者: rantiku 人气: - 评论: 0
问题 2009年度全国旅行社营业收入为1806.53亿元,同比增长8.64%;毛利润总额为134.36亿元,毛利率为7.44%;净利润总额为11.48亿元,净利率为0.64%。 2009年度全国旅行社的旅游业务营业收入为1745.59亿元,同比增长8.87%;旅游业务毛利润为120.27亿元,旅游业务毛利率6.89%;实缴税金为12.69亿元,同比增长12.37%;外汇结汇10.51亿美元,同比减少11.24%;全年促销费支出为6.76亿元,同比增长13.87%。 2008年度全国旅行社入境旅游业务营业收入约为多少亿元? A.185 B.210 C.225 D.235
选项
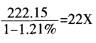
答案 C
解析 根据题中表格可以得出,2008年度全国旅行社入境旅游业务营业收入为亿元,应用首数法可知C项正确。

猜你喜欢

发表评论
更多 网友评论0 条评论)
暂无评论

访问排行

Copyright © 2012-2014 恰考网 Inc. 保留所有权利。 Powered by tikuer.com

页面耗时0.0589秒, 内存占用1.03 MB, Cache:redis,访问数据库17次