7月份,房地产开发景气指数(简称“国房景气指数”)为94. 57,比上月回落0. 14点。2011年1—7月,西部地区房地产开发投资在...

作者: rantiku 人气: - 评论: 0
问题 7月份,房地产开发景气指数(简称“国房景气指数”)为94. 57,比上月回落0. 14点。 2011年1—7月,西部地区房地产开发投资在住宅方面的资金占全国房地产开发总投资额的比重是( )。 A. 12.85% B. 14. 82% C. 16.40% D. 18.73%
选项
答案 B
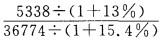
解析 2011年1—7月,西部地区房地产开发投资在住宅方面的资金占全国房地产开发总投资额的比重为×100%≈14.82%。故选B。

猜你喜欢

发表评论
更多 网友评论0 条评论)
暂无评论

访问排行

Copyright © 2012-2014 恰考网 Inc. 保留所有权利。 Powered by tikuer.com

页面耗时0.0678秒, 内存占用1.03 MB, Cache:redis,访问数据库19次