某公司女员工人数是男员工人数的4倍还多120人,而女员工人数与男员工人数的差比 男员工人数的4倍少48人,则男女员工共有( )人。 A. 168 ...

作者: rantiku 人气: - 评论: 0
问题 某公司女员工人数是男员工人数的4倍还多120人,而女员工人数与男员工人数的差比 男员工人数的4倍少48人,则男女员工共有( )人。 A. 168 B. 762 C. 792 D. 960
选项
答案 D
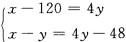
解析 设男、女员工人数分别为;y、x人,则有 ,解得x=792,y=168。则男女员工共有960人。

猜你喜欢

发表评论
更多 网友评论0 条评论)
暂无评论

访问排行

Copyright © 2012-2014 恰考网 Inc. 保留所有权利。 Powered by tikuer.com

页面耗时0.0414秒, 内存占用1.03 MB, Cache:redis,访问数据库19次