在平面直角坐标系中,点A(m,6)与点B(2.5,n)关于原点对称,则A、B两点之间的距离为()。A.5 B.12 C.13 D.8.5

作者: rantiku 人气: - 评论: 0
问题 在平面直角坐标系中,点A(m,6)与点B(2.5,n)关于原点对称,则A、B两点之间的距离为()。 A.5 B.12 C.13 D.8.5
选项
答案 C
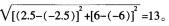
解析 因为点A与点B关于原点对称,所以m=2.5,n=-6。两点的坐标分别为A=(-2.5,6)、B (2.5,-6),则 4、B 两点之间的距离就等于

猜你喜欢

发表评论
更多 网友评论0 条评论)
暂无评论

访问排行

Copyright © 2012-2014 恰考网 Inc. 保留所有权利。 Powered by tikuer.com

页面耗时0.0426秒, 内存占用1.03 MB, Cache:redis,访问数据库13次