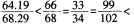
根据上表所列数据,下列说法正确的是()。A.该省高科技产业中的大中型工业企业拥有发明专利数为1747件B.该省高科技产业中的大中型工业企业...

作者: rantiku 人气: - 评论: 0
问题 根据上表所列数据,下列说法正确的是()。 A.该省高科技产业中的大中型工业企业拥有发明专利数为1747件 B.该省高科技产业中的大中型工业企业新产品开发经费支出占高技术产业总数的99.6% C.航空航天器制造业新产品产值少于6.13亿元 D.大中型工业企业在科技资源投人、产出以及拥有自主知识产权方面都发挥着中坚力量的重要作用
选项
答案 D
解析 A项,根据表二的第三行、最后一列可知,大中型工业企业拥有发明专利数为1407件, A项错误; B项,根据表二可知,大中型工业企业新产品开发经费支出占高技术产业总的,B项错误; C项,根据表中信息无法得知航空航天器制造业新产品产值情况,C项错误; D项,根据表二可简单估计,大中型工业企业在各方面占高技术产业总数的比重都在50%以上,因此都发挥着中坚力量的重要作用,D项正确。

猜你喜欢

发表评论
更多 网友评论0 条评论)
暂无评论

访问排行

Copyright © 2012-2014 恰考网 Inc. 保留所有权利。 Powered by tikuer.com

页面耗时0.0405秒, 内存占用1.04 MB, Cache:redis,访问数据库20次