2011年五项社会保险基金收人合计24043亿元,比上年增长5220亿元,增长率为 27.1%。基金支出合计18055亿元,比上年增长3236亿元,增长率...

作者: rantiku 人气: - 评论: 0
问题 2011年五项社会保险基金收人合计24043亿元,比上年增长5220亿元,增长率为 27.1%。基金支出合计18055亿元,比上年增长3236亿元,增长率为21. 8%。 单位:万人 2008年一2011年养老保险参保人数平均每年增长() A. 21% B.16% C. 9% D. 4%
选项
答案 C
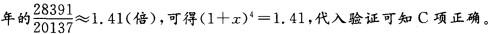
解析 2007年养老保险参保人数为20137万人,2O11年为28391万人,是2007

猜你喜欢

发表评论
更多 网友评论0 条评论)
暂无评论

访问排行

Copyright © 2012-2014 恰考网 Inc. 保留所有权利。 Powered by tikuer.com

页面耗时0.0416秒, 内存占用1.03 MB, Cache:redis,访问数据库19次