设总体服从正态分布,总体方差未知,现抽取一容量为20的样本,要对总体均值进行假设检验,可选用的检验统计量是()。

作者: tihaiku 人气: - 评论: 0
问题 设总体服从正态分布,总体方差未知,现抽取一容量为20的样本,要对总体均值进行假设检验,可选用的检验统计量是()。
选项
答案 C
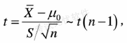
解析 在小样本(n总体服从正态分布,总体方差未知时,对总体均值进行假设检验的统计量为其中为样本方差。

相关内容:总体,正态分布,方差,未知,抽取,容量,样本,均值,假设,检验,计量

猜你喜欢

发表评论
更多 网友评论0 条评论)
暂无评论

访问排行

Copyright © 2012-2014 恰考网 Inc. 保留所有权利。 Powered by tikuer.com

页面耗时0.0331秒, 内存占用1.04 MB, Cache:redis,访问数据库19次