某地区2009年石油产量为3.9万吨,到2013年达到8.3万吨,则此期间该地区石油产量的年平均增长速度的计算公式应是()。

作者: tihaiku 人气: - 评论: 0
问题 某地区2009年石油产量为3.9万吨,到2013年达到8.3万吨,则此期间该地区石油产量的年平均增长速度的计算公式应是()。
选项
答案 D
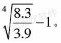
解析 平均增长速度是说明现象在一定时期内逐期平均增长程度的指标。计算公式为:平均增长速度=平均发展速度-1(或减100%);平均发展速度=n为y0与yn的间隔期数。此例中n为4,根据题意可知,此期间该地区原煤产量的年平均增长速度=

相关内容:地区,2009年,石油,产量,3.9万吨,2013年,8.3万吨,公式

猜你喜欢

发表评论
更多 网友评论0 条评论)
暂无评论

访问排行

Copyright © 2012-2014 恰考网 Inc. 保留所有权利。 Powered by tikuer.com

页面耗时0.0420秒, 内存占用1.04 MB, Cache:redis,访问数据库15次