在家庭和企业的两部门经济社会中,自发消费为500亿元,投资为300亿元,边际消费倾向为0.2,则两部门经济的均衡收入为()。A. Y= 500×(1+0....

作者: tihaiku 人气: - 评论: 0
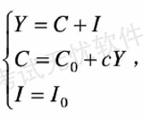
问题 在家庭和企业的两部门经济社会中,自发消费为500亿元,投资为300亿元,边际消费倾向为0.2,则两部门经济的均衡收入为()。
选项 A. Y= 500×(1+0.2) +300=900亿元 B. Y= 500÷(1-0.2) +300=925亿元 C. Y= (500+300) × (1+0.2) =960亿元 D. Y=(500+300) ÷ (1-0.2) =1000亿元
答案 D
解析 根据两部门均衡条件:得均衡产出公式:Y=(C0+I0)/(1-C),将已知C0=500,I0=300,c=0.2 代入即得:Y=(500+300)/(1-0.2)= 1000(亿元)。

相关内容:家庭,企业,部门,经济社会,消费,500亿元,投资,300亿元,边际,倾向,经济,收入,1+0....

猜你喜欢

发表评论
更多 网友评论0 条评论)
暂无评论

访问排行

Copyright © 2012-2014 恰考网 Inc. 保留所有权利。 Powered by tikuer.com

页面耗时0.0346秒, 内存占用1.05 MB, Cache:redis,访问数据库20次