若已知一个时间数列的项数、累计增长量和定基增长速度,可以求得()。A. 平均增长量 B. 最初水平 C. 最末水平 D. 平均增长速度 E. 增长...

作者: tihaiku 人气: - 评论: 0
问题 若已知一个时间数列的项数、累计增长量和定基增长速度,可以求得()。
选项 A. 平均增长量 B. 最初水平 C. 最末水平 D. 平均增长速度 E. 增长1%的绝对值
答案 ABCD
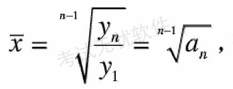
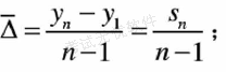
解析 假设时间数列的项数为n,累计增长量为sn=yn-y1,定基增长速度an=yn/y1-1,那么可以求得:最初水平y1=sn/an;最末水平yn=sn(an-1)/(an-1);平均增长量平均发展速度平均增长速度=平均发展速度-1。因为yn-1未知,所以增长1%的绝对值=yn-1/100不可以求得。

猜你喜欢

发表评论
更多 网友评论0 条评论)
暂无评论

访问排行

Copyright © 2012-2014 恰考网 Inc. 保留所有权利。 Powered by tikuer.com

页面耗时0.0420秒, 内存占用1.03 MB, Cache:redis,访问数据库19次