某地区2012年GDP为900亿元,人均GDP为10000元/人。若该地区人口自然增长率为10‰。到2017年人均GDP要达到15000元/人。 请根据...

作者: tihaiku 人气: - 评论: 0
问题 某地区2012年GDP为900亿元,人均GDP为10000元/人。若该地区人口自然增长率为10‰。到2017年人均GDP要达到15000元/人。 请根据上述资料,从备选答案中选出正确答案。 若该地区计划在2012—2017年期间GDP平均每年增长速度为9%,并要达到2017年人均GDP为15000元/人的目标,则在此这期间的人口自然增长率应为()。
选项 A. 6.2‰ B. 5. 1‰ C. 8. 3‰ D. 10.3‰
答案 B
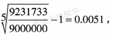
解析 2017年GDP=900×(1+9%) × (1+9%) × (1+9%) × (1+9%) × (1+9%) =1384.76 (亿元);2017年人口数=1384. 76 ×100000000÷15000=9231733 (人);故在此期间的人口自然增长率=即5.1‰。
发表评论
更多 网友评论0 条评论)
暂无评论

访问排行

Copyright © 2012-2014 恰考网 Inc. 保留所有权利。 Powered by tikuer.com

页面耗时0.0255秒, 内存占用1.03 MB, Cache:redis,访问数据库14次