当价格为3元时,某种商品的需求量为300;当价格为2元时,该商品的需求量为700。则需求函数是()。A. Qd=-200+300P B. Qd=-300...

作者: tihaiku 人气: - 评论: 0
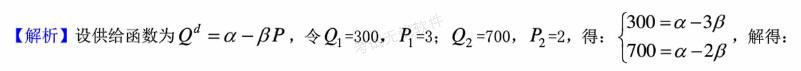
问题 当价格为3元时,某种商品的需求量为300;当价格为2元时,该商品的需求量为700。则需求函数是()。
选项 A. Qd=-200+300P B. Qd=-300-300P C. Qd=-400+400P D. Qd=1500-400P
答案 D
解析 a=1500,β=400。故供给函数为Qd=1500 — 400P。

相关内容:价格,3元时,商品,需求量,2元时,需求,函数,-200+300P,-300...

猜你喜欢

发表评论
更多 网友评论0 条评论)
暂无评论

访问排行

Copyright © 2012-2014 恰考网 Inc. 保留所有权利。 Powered by tikuer.com

页面耗时0.0317秒, 内存占用1.03 MB, Cache:redis,访问数据库15次