计划某种产品在“十一五”期间的总速度为254%,则年平均增长速度是120.5%。( )

作者: tihaiku 人气: - 评论: 0
问题 计划某种产品在“十一五”期间的总速度为254%,则年平均增长速度是120.5%。( )
选项
答案
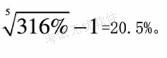
解析 计划某种产品在“十一五”期间的总速度为254%,则年平均增长速度=

相关内容:计划,产品,十一五,速度,120.5%

猜你喜欢

发表评论
更多 网友评论0 条评论)
暂无评论

访问排行

Copyright © 2012-2014 恰考网 Inc. 保留所有权利。 Powered by tikuer.com

页面耗时0.0266秒, 内存占用1.04 MB, Cache:redis,访问数据库17次