假定劳动产出弹性为0.7,资本产出弹性为0.3,劳动投入增长3%,资本投入增长5%,经济增长率为7%。如生产要素效率提高4%,则经济增长率为()A. 3%...

作者: tihaiku 人气: - 评论: 0
问题 假定劳动产出弹性为0.7,资本产出弹性为0.3,劳动投入增长3%,资本投入增长5%,经济增长率为7%。如生产要素效率提高4%,则经济增长率为()
选项 A. 3%+4%=7% B. 0.7*3%+0.3*5%+4%=7.6% C. (3%+5%)/2+4%=8% D. 5%+4%=9%
答案 B
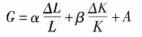
解析 设经济增长率为G,劳动增长率为ΔL/L,资本增长率为ΔK/K,技术进步率为A,A也被称为全要素生产率,根据索洛余值法,则有下列关系式: 式中α和β为参数,且β+α=1,它们分别表示劳动产出弹性和资本产出弹性。当生产要素效率提高4%时,经济增长率=0.7*3%+0.3*5%+4%=7.6%。

相关内容:假定,劳动,产出,弹性,资本,增长,经济,增长率,生产,要素,效率

猜你喜欢

发表评论
更多 网友评论0 条评论)
暂无评论

访问排行

Copyright © 2012-2014 恰考网 Inc. 保留所有权利。 Powered by tikuer.com

页面耗时0.0252秒, 内存占用1.04 MB, Cache:redis,访问数据库16次