某地区家计调查资料得知,每户平均月收入()为8000元,标准差为800元,每户平均月消费支出()5200元,方差为40000元,收入与支出的协方差=(r×...

作者: tihaiku 人气: - 评论: 0
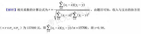
问题 某地区家计调查资料得知,每户平均月收入()为8000元,标准差为800元,每户平均月消费支出()5200元,方差为40000元,收入与支出的协方差=(r×σx×σy)为157000元,支了对于收入的回归系数为0.2。请根据上述资料回答下列问题: 收入与消费支出的相关系数为().
选项 A. 0.96 B. 0.95 C. 0.97 D. 0.98
答案 D
解析

猜你喜欢

发表评论
更多 网友评论0 条评论)
暂无评论

访问排行

Copyright © 2012-2014 恰考网 Inc. 保留所有权利。 Powered by tikuer.com

页面耗时0.0394秒, 内存占用1.04 MB, Cache:redis,访问数据库20次