(二)为预测我国居民家庭对电力的需求量,建立了我国居民家庭电力消耗量(单位:千瓦小时)与可支配收入(X1,单位:百元)、居住面积(X2,单位:平方米)的多...

作者: tihaiku 人气: - 评论: 0
问题 (二)为预测我国居民家庭对电力的需求量,建立了我国居民家庭电力消耗量(单位:千瓦小时)与可支配收入(X1,单位:百元)、居住面积(X2,单位:平方米)的多元线性回归方程,如下所示: 请根据上述结果,从下列备选答案中选出正确答案。 根据计算上述回归方程式的多重判定系数为0.9235,其正确的含义是( ).
选项 A. 在Y的总变差中,有92.35%可以由解释变量X1和X2解释 B. 在Y的总变差中,有92.35%可以由解释变量X1解释 C. 在Y的总变差中,有92.35%可以由解释变量X2解释 D. 在Y的变化中,有92.35%是由解释变量X1和X2决定的
答案 A
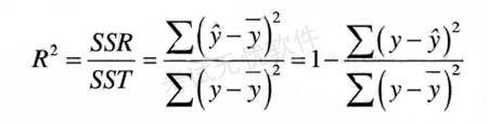
解析 多重判定系数是多元线性回归平方和占总平方和的比例,计算公式为: 判定系数R2度量了多元线性回归方程的拟合程度,它可以解释为:在因变量Y的总变差中被估计的多元线性回归方程所揭示的比例。

猜你喜欢

发表评论
更多 网友评论0 条评论)
暂无评论

访问排行

Copyright © 2012-2014 恰考网 Inc. 保留所有权利。 Powered by tikuer.com

页面耗时0.0360秒, 内存占用1.04 MB, Cache:redis,访问数据库18次