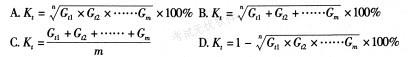
居民消费价格指数的月环比指数计算公式为( )(G为报告期价格与上期价格对比的相对数)

作者: tihaiku 人气: - 评论: 0
问题 居民消费价格指数的月环比指数计算公式为( )(G为报告期价格与上期价格对比的相对数)
选项
答案 A
解析

相关内容:居民,消费,价格指数,指数,公式,报告期,价格

猜你喜欢

发表评论
更多 网友评论0 条评论)
暂无评论

Copyright © 2012-2014 恰考网 Inc. 保留所有权利。 Powered by tikuer.com

页面耗时0.0324秒, 内存占用1.04 MB, Cache:redis,访问数据库18次