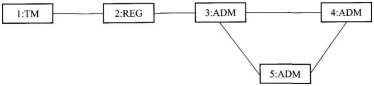
下图中,两节点之间称为复用段的有( )。 A.1—2 B.1—3 C.1—4 D.1—5 E.3—4

作者: tihaiku 人气: - 评论: 0
问题 下图中,两节点之间称为复用段的有( )。
选项 A.1—2 B.1—3 C.1—4 D.1—5 E.3—4
答案 BE
解析 复用段:终端复用器与分插复用器之间以及分插复用器与分插复用器之间称为复用段。复用段两端的TM及ADM称为复用段终端( MST) 。

相关内容:图中,节点

猜你喜欢

发表评论
更多 网友评论0 条评论)
暂无评论

访问排行

Copyright © 2012-2014 恰考网 Inc. 保留所有权利。 Powered by tikuer.com

页面耗时0.0352秒, 内存占用1.04 MB, Cache:redis,访问数据库18次