X房地产开发企业通过"招拍挂"取得一宗土地开发权,该土地性质为住宅用地,项目开发周期为3年。该房地产企业委托一家咨询公司对本项目的市场、方案、效益和风...

作者: tihaiku 人气: - 评论: 0
问题

X房地产开发企业通过"招拍挂"取得一宗土地开发权,该土地性质为住宅用地,项目开发周期为3年。该房地产企业委托一家咨询公司对本项目的市场、方案、效益和风险等进行分析。

1.甲咨询工程师设计了三个互斥开发方案,并依据可比性原则,采用动态分析方法对各方案进行了经济效益比较。

2.乙咨询工程师采用专家调查法预测了3年后的住宅售价平均值:乐观值为750q元/m2,悲观值为4000元/m2,最可能值为5500元/m2

3.丙咨询工程师通过敏感性分析得知项目效益对住宅价格很敏感,当住宅平均售价为5200元/m2时,项目的内部收益率等于开发商期望的最低回报率(12%)。丙咨询工程师分析了不同住宅售价发生的概率,见表14-22。

4.丁咨询工程师认为本项目效益好坏除受住宅价格影响外,还受建设投资、融资政策等变量影响,可以采用蒙特卡罗模拟技术评价其风险。

问题

1.甲咨询工程师在进行方案经济比较时,各方案之间具有可比性具体包含哪些内容?可以采用哪些动态分析方法进行方案经济比较?

2.根据乙咨询工程师的调查预测,估算3年后住宅售价的期望值和标准差。

3.根据丙咨询工程师的分析,计算本项目满足开发商投资回报要求的概率,并据此评价项目风险大小。

4.丁咨询工程师采用的风险评价技术是否正确?简述理由,并说明采用蒙特卡洛模拟法应注意的问题。

选项

1.(1)各方案比选的可比性原则具体包括:服务年限的可比,所以比较方案的服务年限相同;计算基础资料的可比性(如价格);设计深度应相同,效益与费用的计算范围应一致;经济计算方法应相同,即选择相同的评价指标。

(2)方案比选的动态分析方法包括:净现值比较法、净年值比较法、费用现值比较法。

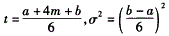
2.根据题目可知该住宅售价符合β分布,则其期望值和方差的计算公式为:

式中,α为乐观值,6为悲观值,m为最可能值,t为期望值,σ为标准差。

该住宅售价期望值=[(7500+5500×4+4000)/6]元/m2=5583.33元/m2

该住宅售价标准差=[(7500-4000)/6]元/m2=583.33元/m2

3.(1)按从小到大顺序排列各种售价,计算累计概率,见表14-25。

(2)要满足开发商投资回报率的要求,住宅的售价应高于5200元/m2,由上述数据可知:

住宅的售价低于5200元/m2的概率=

则住宅售价高于5200元/m2的概率=1-0.59=0.41,即本项目满足开发商投资回报率要求的概率为41%,说明项目具有很大风险。

4.丁咨询工程师采用的风险评价技术是正确的。理由:当风险分析中的输入变量多于3个,每个变量可能出现3个以上至无限多种状态时,可以采用蒙特卡罗技术。

使用时应注意的问题有:

(1)风险变量之间应该是独立的,输入变量的分解程度既要保证结果可靠,又要避免风险变量之间的相关。

(2)蒙特卡罗法的模拟次数一般应在200~500次之间为宜。

答案
解析

相关内容:房地产,开发企业,招拍,一宗,土地,开发权,性质,住宅,用地,项目开发,周期,企业,委托,一家,咨询公司,目的,市场,方案,效益,和风

猜你喜欢

发表评论
更多 网友评论0 条评论)
暂无评论

访问排行

Copyright © 2012-2014 恰考网 Inc. 保留所有权利。 Powered by tikuer.com

页面耗时0.0331秒, 内存占用1.05 MB, Cache:redis,访问数据库19次