拟建某工业建设项目,各项数据如下。 1.主要生产项目7400万元(其中:建筑工程费2800万元,设备购置费3900万,安装工程费7002万元。 2.辅...

作者: tihaiku 人气: - 评论: 0
问题

拟建某工业建设项目,各项数据如下。

1.主要生产项目7400万元(其中:建筑工程费2800万元,设备购置费3900万,安装工程费7002万元。

2.辅助生产项目4900万元(其中:建筑工程费1900万元,设备购置费2600万元,安装工程费400万元)。

3.公用工程2200万元(其中:建筑工程费1320万元,设备购置费660万元,安装工程费220万元)。

4.环境保护工程660万元(其中:建筑工程费330万元,设备购置费220万元,安装工程费110万元)。

5.总图运输工程330万元(其中:建筑工程费220万元,设备购置费110万元)。

6.服务性工程建筑工程费160万元。

7.生活福利工程建筑工程费220万元。

8.厂外工程建筑工程费110万元。

9.工程建设其他费用400万元。

10.基本预备费费率为10%。

11.建设期积年涨价预备费费率6%。

12.建设期为2年,每年建设投资相等,建设资金来源为第一年贷5000万元,第二年贷款4800万元,其余为自有资金,贷款年利率为6%(每半年计息一次)。

13.固定资产投资方向调节税税率为5%。

【问题】

1.试将以上数据填入表2-1(建设项目固定资产投资估算表)。

2.列式计算基本预备费、涨价预备费、固定资产投资方向调节税和建设期贷款利息,并将费用名称和相应计算结果填入表2-1中。(单位:万元)

3.完成该建设项目固定资产投资估算表。

(注:计算结果为百分数的,取2位小数,其余均取整数)

选项

1.填制固定资产投资估算表(表2-4,单位:万元)。

2.计算固定资产投资构成中的部分费用并填表。

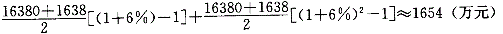
(1)基本预备费=16380×10%=1638(万元)

(2)涨价预备费=

(3)投资方向调节税=(16380+1638+1654)×5%≈984(万元)

(4)建设期贷款利息计算如下:

①贷款实际年利率

②各年贷款利息

第一年利息=(1/2)×5000×6.09%≈152(万元)

第二年利息=(5000+152+(1/2)×4800)×6.09%≈460(万元)

③计算建设期贷款利息=152+460=612(万元)

3.根据以上数据填写完成表2-4。

答案
解析

相关内容:工业,建设项目,数据,如下,生产,项目,7400万元,建筑,工程费,2800万元,设备,购置费,3900万,7002万元

猜你喜欢

发表评论
更多 网友评论0 条评论)
暂无评论

访问排行

Copyright © 2012-2014 恰考网 Inc. 保留所有权利。 Powered by tikuer.com

页面耗时0.0317秒, 内存占用1.05 MB, Cache:redis,访问数据库19次