假设A资产和B资产在不同经济状态下可能的收益率以及各种经济状态出现的概率如下表所示A资产和B资产形成一个资产组合,A资产和B资产的投资比重各为50...

作者: rantiku 人气: - 评论: 0
问题 假设A资产和B资产在不同经济状态下可能的收益率以及各种经济状态出现的概率如下表所示 A资产和B资产形成一个资产组合,A资产和B资产的投资比重各为50%。A、B资产收益率的相关系数为-1。 要求: (1)计算资产组合的预期收益率; (2)计算A资产和B资产收益率的标准差; (3)计算资产组合的方差和标准差。
选项
答案
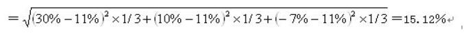
解析 1.A资产的预期收益率=1/3×30%+1/3×10%+1/3×(-7%)=11% B资产的预期收益率=1/3×(-5%)+1/3×7%+1/3×19%=7% 资产组合的预期收益率=11%×50%+7%×50%=9%(1分) 2.A 资产收益率的标准差 B资产收益率的标准差 3.资产组合收益率的方差 =(0.5×15.12%) 2+(0.5×9.80%) 2+2×(-1)×(0.5×15.12%)×(0.5×9.80%) =(0.5×15.12%-0.5×9.80%) 2 =0.071%(1分) 资产组合收益率的标准差=(0.071%) 1/2=|0.5×15.12%-0.5×9.80%|=2.66%(1分)

猜你喜欢

发表评论
更多 网友评论0 条评论)
暂无评论

访问排行

Copyright © 2012-2014 恰考网 Inc. 保留所有权利。 Powered by tikuer.com

页面耗时0.0269秒, 内存占用1.03 MB, Cache:redis,访问数据库17次