已知某笔贷款的年利率为16%,借贷双方约定按季度计息,则该笔贷款的实际利率为 ( )A. 12. 55% B. 15. 87%C. 16. 99% D...

作者: rantiku 人气: - 评论: 0
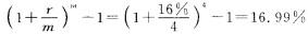
问题 已知某笔贷款的年利率为16%,借贷双方约定按季度计息,则该笔贷款的实际利率为 ( ) A. 12. 55% B. 15. 87%C. 16. 99% D. 19. 25%
选项
答案 C
解析 由题意可知,名义利率r==16%,则根据实际利率,与名义利率r的关系式可得,i -
发表评论
更多 网友评论0 条评论)
暂无评论

访问排行

Copyright © 2012-2014 恰考网 Inc. 保留所有权利。 Powered by tikuer.com

页面耗时0.0265秒, 内存占用1.03 MB, Cache:redis,访问数据库17次