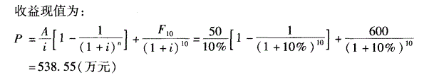
某写字楼投资项目在10年的持有期内各年净运营收益均为50万元,第10年末净转售收入为600万元,如果折现率为10%,该写字楼投资项目的收益现值为( )万元...

作者: rantiku 人气: - 评论: 0
问题 某写字楼投资项目在10年的持有期内各年净运营收益均为50万元,第10年末净转售收入为600万元,如果折现率为10%,该写字楼投资项目的收益现值为( )万元。 A. 846. 23 B. 726. 14 C. 538. 55 D. 485. 64
选项
答案 C
解析 由题目可知,A=50万元,N = 1, i = 10% , F10 =600万元。则该写字楼项目

猜你喜欢

发表评论
更多 网友评论0 条评论)
暂无评论

访问排行

Copyright © 2012-2014 恰考网 Inc. 保留所有权利。 Powered by tikuer.com

页面耗时0.0385秒, 内存占用1.03 MB, Cache:redis,访问数据库19次