某宗物业交易总价为95万元,其中首期付款40%,余款于半年后支付,假设月利率为0.3%,则该宗物业在其成交日期一次应付清( )万元。A. 93. 84...

作者: rantiku 人气: - 评论: 0
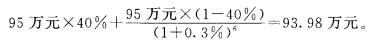
问题 某宗物业交易总价为95万元,其中首期付款40%,余款于半年后支付,假设月利率为0.3%,则该宗物业在其成交日期一次应付清( )万元。 A. 93. 84 B. 93. 98 C. 92. 95 D. 92. 65
选项
答案 B
解析 本题考核的是物业在成交日期应一次性付清的金额。计算方法为:

猜你喜欢

发表评论
更多 网友评论0 条评论)
暂无评论

访问排行

Copyright © 2012-2014 恰考网 Inc. 保留所有权利。 Powered by tikuer.com

页面耗时0.0344秒, 内存占用1.03 MB, Cache:redis,访问数据库19次