某宗物业是在政府有偿出让的土地上开发建设的,当时获得的土地使用年限为45年,至今已使用了 S年;预计利用该宗物业正常情况下每年可获得净收益7万元;该宗物业...

作者: rantiku 人气: - 评论: 0
问题 某宗物业是在政府有偿出让的土地上开发建设的,当时获得的土地使用年限为45年,至今已使用了 S年;预计利用该宗物业正常情况下每年可获得净收益7万元;该宗物业的报酬率为6.5%,则该宗物业的收益价格为( )万元。 A. 97. 22 B. 96. 16 C. 95. 64 D. 98. 56
选项
答案 A
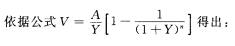
解析 本题考核的是物业收益价格的计算。

猜你喜欢

发表评论
更多 网友评论0 条评论)
暂无评论

访问排行

Copyright © 2012-2014 恰考网 Inc. 保留所有权利。 Powered by tikuer.com

页面耗时0.0308秒, 内存占用1.03 MB, Cache:redis,访问数据库18次