某宗物业是在政府有偿出让的土地上开发建设的,当时获得的土地使用年限为40年,至 今巳使用了 8年;预计利用该宗物业正常情况下每年可获得净收益10万元;该宗...

作者: rantiku 人气: - 评论: 0
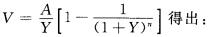
问题 某宗物业是在政府有偿出让的土地上开发建设的,当时获得的土地使用年限为40年,至 今巳使用了 8年;预计利用该宗物业正常情况下每年可获得净收益10万元;该宗物业的 报酬率为7.5%,则该宗物业的收益价格为( )万元。 A. 120. 26 B. 119.62 C. 121.85 D. 120.15
选项
答案 D
解析 本题考核的是物业收益价格的计算。依据公式

猜你喜欢

发表评论
更多 网友评论0 条评论)
暂无评论

访问排行

Copyright © 2012-2014 恰考网 Inc. 保留所有权利。 Powered by tikuer.com

页面耗时0.0329秒, 内存占用1.03 MB, Cache:redis,访问数据库19次