某宗物业从成交之日起分期付清,首期付款6万元,半年后付款24万元,假设月利率为 0.5%,则该宗物业在其成交日期一次付清的价格为( )万元。 A....

作者: rantiku 人气: - 评论: 0
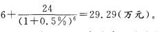
问题 某宗物业从成交之日起分期付清,首期付款6万元,半年后付款24万元,假设月利率为 0.5%,则该宗物业在其成交日期一次付清的价格为( )万元。 A. 28. 87 B. 28. 99 C. 29. 29 D. 29. 69
选项
答案 C
解析 该宗物业在其成交日期一次付清的价格计算如下:

猜你喜欢

发表评论
更多 网友评论0 条评论)
暂无评论

访问排行

Copyright © 2012-2014 恰考网 Inc. 保留所有权利。 Powered by tikuer.com

页面耗时0.0390秒, 内存占用1.03 MB, Cache:redis,访问数据库18次